ツイッターで見かけたこの問題
試しに解いてみたら出来た!…と思うんやけど…、、
答えが無いけどこれでおうとる?!
これおうとる・・?
- Dixq (管理人)
- 管理人
- 記事: 1662
- 登録日時: 15年前
- 住所: 北海道札幌市
- 連絡を取る:
Re: これおうとる・・?
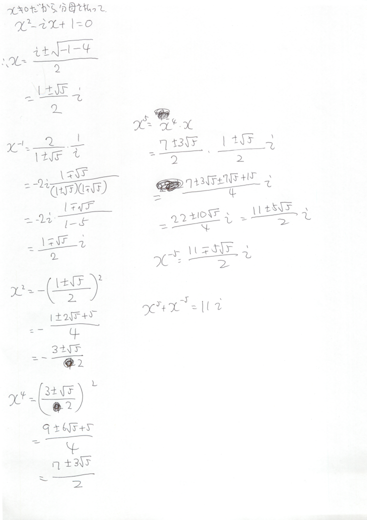
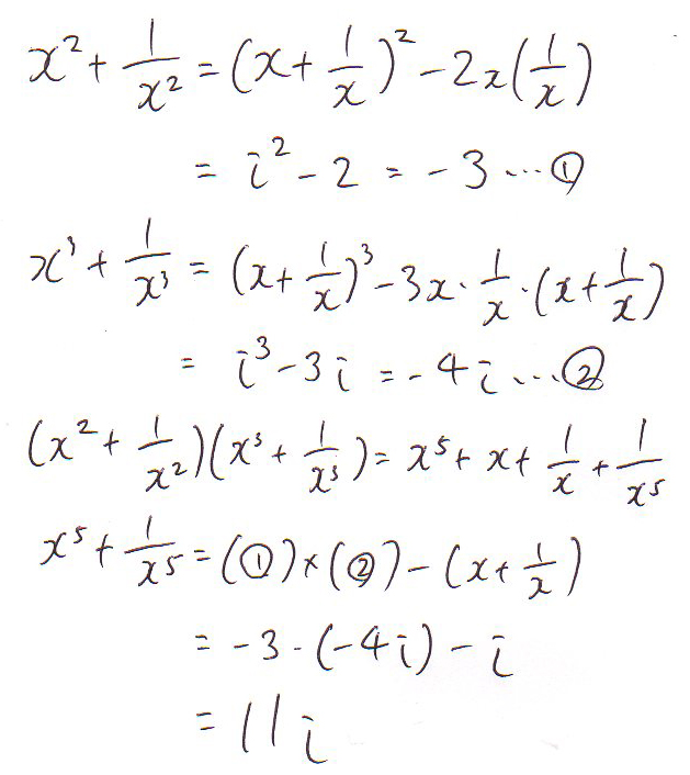
途中めっちゃ不要な計算やっとるな・・。
これが14年ぶりに数学やった力やで
これが14年ぶりに数学やった力やで
Re: これおうとる・・?
何も考えずにWolfram|Alphaに突っ込んでみました。
Solve[a == x^5 + 1/(x^5) && x + 1/x == i, a] - Wolfram|Alpha
正しそうですね。
Re: これおうとる・・?
計算ミスしそうですが,二次方程式の解の公式でxを出して,x2, x4経由でx5を算出,もできますね。
# 実際,x4×xでミスしました……。
手計算の跡。ミスした1枚目は破棄してます……。 間違いそうなだけで,こちらの力業っぽい方がDixqさんの方法よりも簡単な気がしてしまうのは気のせい……?
# 実際,x4×xでミスしました……。
手計算の跡。ミスした1枚目は破棄してます……。 間違いそうなだけで,こちらの力業っぽい方がDixqさんの方法よりも簡単な気がしてしまうのは気のせい……?
- Dixq (管理人)
- 管理人
- 記事: 1662
- 登録日時: 15年前
- 住所: 北海道札幌市
- 連絡を取る:
Re: これおうとる・・?
みけCAT君
えぇ、今そんなことができるん??
すげぇなぁ。スマホがあればカンニングしまくりやなぁ・・。
えぇ、今そんなことができるん??
すげぇなぁ。スマホがあればカンニングしまくりやなぁ・・。
- Dixq (管理人)
- 管理人
- 記事: 1662
- 登録日時: 15年前
- 住所: 北海道札幌市
- 連絡を取る:
RE: これおうとる・・?
YuOさん
ありがとうございます!
友人からIT速報に模範解答載ってると教えてもらいました。
だそうです。
すげぇ・・計算量少ない。
YuOさんの方法も正解のようですね。
私のも一応答えはあってたものの二項定理まで使ってバカ正直に5乗の展開するなんて
バカがやることですね・・・。(計算時間的に)
ありがとうございます!
友人からIT速報に模範解答載ってると教えてもらいました。
だそうです。
すげぇ・・計算量少ない。
YuOさんの方法も正解のようですね。
私のも一応答えはあってたものの二項定理まで使ってバカ正直に5乗の展開するなんて
バカがやることですね・・・。(計算時間的に)
Re: これおうとる・・?
面白そうなので、自分でもWindows電卓でやってみました。
x + 1/x = iより、x^2-ix+1=0.
解の公式より、x=(1±sqrt(5)i)/2≒-0.6181i, 1.618i.
(x^5+(1/x)^5)|[x=-0.618i] = 11.021i.
(x^5+(1/x)^5)|[x=1.618i] = 10.999i.
※計算は小数点第3位の精度で行っています。
x + 1/x = iより、x^2-ix+1=0.
解の公式より、x=(1±sqrt(5)i)/2≒-0.6181i, 1.618i.
(x^5+(1/x)^5)|[x=-0.618i] = 11.021i.
(x^5+(1/x)^5)|[x=1.618i] = 10.999i.
※計算は小数点第3位の精度で行っています。
- Dixq (管理人)
- 管理人
- 記事: 1662
- 登録日時: 15年前
- 住所: 北海道札幌市
- 連絡を取る:
Re: これおうとる・・?
あんどーなつさん
> x=(1±sqrt(5)i)/2
なんで複素数が純虚数になったんだろう・・?と思ってたら
x=(i±sqrt(5)i)/2
じゃないですかね?
> x=(1±sqrt(5)i)/2
なんで複素数が純虚数になったんだろう・・?と思ってたら
x=(i±sqrt(5)i)/2
じゃないですかね?
- Dixq (管理人)
- 管理人
- 記事: 1662
- 登録日時: 15年前
- 住所: 北海道札幌市
- 連絡を取る:
- Hiragi(GKUTH)
- 記事: 167
- 登録日時: 15年前
Re: これおうとる・・?
現役生が解いてみた、
計算でとりあえずゴリ押ししてみるそれでも
2分ぐらいは掛かってしまう...
計算でとりあえずゴリ押ししてみるそれでも
2分ぐらいは掛かってしまう...
